DRUCKVERLUST IN ROHRSYSTEMEN AUS KUNSTSTOFF


Druckverlustbeiwerte für Fittinge und Formteile aus PVC U und ABS




Für hydraulische Rohrleitungsberechnungen werden zur rechnerischen Bestimmung in Rohrformstücken Druckverlustbeiwerte benötigt. Diese durch Reibungs-, Umlenkungs- und Ablöseverluste resultierenden Druckverluste haben oft einen nicht unerheblichen Anteil am Gesamtdruckverlust eines Rohrsystems. Um möglichst einfach den Druckverlust in Rohrformstücken zu berücksichtigen, sind in der Anlage „ Druckverlustbeiwerte für PVC-U / C und ABS- Formteile in Meter/Formteil ausgewiesen. Diese Werte sind als äquivalente Länge der geraden Rohrlänge LR in der Druckverlustberechnung der Einzelrohrlänge zu berücksichtigen.

Die Druckverluste in geraden Rohrstrecken errechnen sich wie folgt:



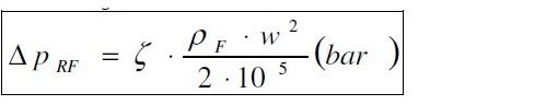
Liegen für bestimmte Formteile keine Druckverlustbeiwerte vor, kann über die Berechnungsformel



berechnet werden. Die Zeta Werte können den üblichen Tabellen entnommen werden.





DRUCKVERLUSTWERTE IN ROHRFORMTEILEN


- Angaben in äquivalenter Rohrlänge in Meter / Fomteil -


PVC-U / PVC-C Fittinge und Formteile ABS Fittinge und Formteile
d 90° Winkel 45° Winkel 90° Bogen T-Stück (1) T-Stück (2) 90° Winkel 45° Winkel 90° Bogen T-Stück (1) T-Stück (2)
16 0,40 0,10 0,10 0,10 0,80 0,39 0,13 0,13 0,13 0,78
20 0,50 0,10 0,10 0,10 1,00 0,50 0,17 0,17 0,17 1,01
25 0,70 0,15 0,20 0,20 1,30 0,64 0,21 0,21 0,21 1,27
32 0,90 0,20 0,20 0,20 1,80 0,83 0,28 0,28 0,28 1,67
40 1,10 0,40 0,30 0,30 2,20 1,04 0,35 0,35 0,35 2,08
50 1,30 0,50 0,40 0,40 2,80 1,30 0,43 0,43 0,43 2,59
63 1,80 0,80 0,50 0,50 3,60 1,64 0,55 0,55 0,55 3,28
75 2,00 0,90 0,70 0,70 4,30 1,95 0,65 0,65 0,65 3,90
90 2,40 1,10 0,80 0,80 5,10 2,34 0,78 0,78 0,78 4,68
110 3,00 1,30 1,00 1,00 6,30 2,86 0,95 0,95 0,95 5,72
125 2,50 1,50 1,20 1,20 7,40 3,26 1,09 1,09 1,09 6,52
140 2,90 1,80 1,30 1,30 8,30 3,64 1,21 1,21 1,21 7,28
160 4,50 2,00 1,50 1,50 9,60 4,17 1,39 1,39 1,39 8,34
180 5,00 2,00 1,70 1,70 10,70 5,40 1,80 1,80 1,80 10,80
200 5,60 2,50 1,90 1,90 11,90 5,21 1,74 1,74 1,74 10,42
225 6,20 2,80 2,10 2,10 13,40 5,86 1,95 1,95 1,95 11,72
250 6,90 3,10 2,30 2,30 14,80 6,53 2,18 2,18 2,18 13,07
280 7,80 3,50 2,70 2,70 16,80 8,40 2,80 2,80 2,80 16,80
315 8,70 4,00 3,00 3,00 18,80 8,20 2,73 2,73 2,73 16,40
 
(1) Volumenstrom in Durchgangsrichtung
(2) Volumenstrom vom Abgang in Durchgangsrichtung
Die äqivalenten Rohrlängen der Formteile sind bei der Druckverlustberechnung der geraden Gesamtrohrlänge zu addieren.
Die Widerstandsbeiwerte für PE-und PP-Formteile können Sie ggf. beu uns anfragen.






Druckabfall in Rohrleitungen aus PVC U, Druckstufe PN 16, Medium Wasser 20°C




  d 75 X 5,6 d 90 x 6,7 d 110 x 8,2 d 125 x 9,3 d 140 x 10,4
Q
[l/s]
V
[m/s]
delta p
[bar/100m]
V
[m/s]
delta p
[bar/100m]
V
[m/s]
delta p
[bar/100m]
V
[m/s]
delta p
[bar/100m]
V
[m/s]
delta p
[bar/100m]
0,16 0,050 0,0009                
0,2 0,063 0,0014                
0,25 0,078 0,0020 0,054 0,0008            
0,315 0,099 0,0029 0,068 0,0012            
0,4 0,125 0,0044 0,087 0,0019 0,058 0,0007        
0,5 0,156 0,0065 0,108 0,0027 0,073 0,0011 0,056 0,0006    
0,63 0,197 0,0097 0,137 0,0041 0,092 0,0016 0,071 0,009 0,056 0,0005
0,8 0,250 0,0148 0,174 0,0062 0,116 0,0024 0,090 0,0013 0,072 0,0008
1 0,313 0,0218 0,217 0,0091 0,145 0,0035 0,112 0,0019 0,090 0,0011
1,25 0,391 0,0323 0,271 0,0135 0,182 0,0052 0,141 0,0028 0,112 0,0017
1,6 0,500 0,0499 0,347 0,0208 0,233 0,0080 0,180 0,0044 0,143 0,0025
2 0,626 0,0741 0,423 0,0309 0,291 0,0119 0,225 0,0064 0,179 0,0038
2,5 0,782 0,1102 0,542 0,0459 0,363 0,0176 0,281 0,0095 0,224 0,0056
3,15 0,985 0,1665 0,684 0,0692 0,458 0,0265 0,354 0,0144 0,282 0,0083
4 1,251 0,2555 0,868 0,1060 0,581 0,0405 0,450 0,0219 0,358 0,0127
5 1,564 0,3819 1,085 0,1582 0,727 0,0603 0,526 0,0326 0,448 0,0189
6,3 1,971 0,5802 1,367 0,2398 0,916 0,0913 0,709 0,0493 0,565 0,0286
8 2,502 0,8958 1,736 0,3693 1,163 0,1403 0,900 0,0757 0,717 0,0438
10 3,128 1,3466 2,170 1,453 0,2099 1,125 0,1131 0,1131 0,896 0,0654
12,5     2,712 0,8319 1,817 0,3146 1,406 0,1692 1,120 0,0978
16     3,472 1,3078 2,325 0,4931 1,799 0,2649 1,434 0,1529
20         2,907 0,7416 2,249 0,3977 1,792 0,2293
25             2,812 0,5982 2,240 0,344
31,5                 2,823 0,5258
 
Technische Änderungen vorbehalten - Alle Angaben ohne Gewähr


Die oben dargestellten Werte und Tabellen sind ein Auszug. Detaillierte Berechnungen finden sie auch unter folgendem Link Druckverlust in Rohrleitungen





Auslegung von Rohrsystemen aus Kunststoff


- Strömungsberechnung -


In unserem Aufklappmenue "ONLINE-TOOLS", direkt neben der Artikeldarstellung, finden Sie einen Link zur Strömungsberechnung von Rohrsystemen aus Kunststoff.

Zur groben Auslegung Ihres Projektes ist das eine hilfreiche Funktion.
 









Ihre Wünsche, unsere Lösungen - Ein umfangreiches Lieferprogramm nach Maß.



Kunststoffrohrsysteme


Rohrsysteme aus Kunststoff im Überblick
Technische Informationen ABS Rohrsysteme
Technische Informationen PVC  U Rohrsysteme
Technische Informationen PVC  U Transparent Rohrsysteme
Technische Informationen PVC  C Rohrsysteme
Technische Informationen PP Rohrsysteme
Technische Informationen PP-R Rohrsysteme
Technische Informationen PE Rohrsysteme
Technische Informationen PVDF Rohrsysteme

Chemiedur


Technische Informationen UP-GF (GFK) Rohrsysteme
UP-GF (GFK) Rohre
UP-GF (GFK) Formteile und Verbindungen
UP-GF-PP (GFK) Formteile und Verbindungen
UP-GF (GFK) Klebebunde
UP-GF (GFK) Losflansche
PP/GFK Schmutzfänger DN 200 - DN 500
GFK/CSS  Schmutzfänger DN 200 - DN 500
PP/GFK  Schrägsitzschmutzfänger DN 200 - DN 400
GFK und PP/GFK Mannlochdeckel DN 500 - DN 800


Kunststoffrohre


Rohrzuschnitssrechner
Sägehinweise Kunststoffrohre
Kunststoffrohr - Restebörse
Normung - Kunststoffrohre und Formteile
PVC U Rohrabweichungen
Druckverlust PVCU, PVCC und ABS Rohrsysteme
Unterschied Rp, R und G Gewinde
Schraubenlängen für Flanschverbindungen
Dichtungen: PTFE, NBR, FKM, EPDM

Kunststoffarmaturen


PVC U Transparent Kugelhahn
Membranventile
Blockventile
Absperrklappen
Nadelventile aus Kunststoff



 

Kunststoffarmaturen nach ATEX


ATEX-Leitlinien allgemein
Neue EU Richtlinie 2014/34/EU
Kunststoffarmaturen in Ex-Zonen
Schmutzfänger PP-EL DN 15 - DN 50
Rückschlagventil PP-EL DN 15 - DN 50
Schrägsitzventil PP-EL DN 15 - DN 50

Kleben von Kunststoffrohren


Klebeanleitung
Klebeanleitung per Video

Kunststoffschweißen


Hinweise zum Extrusionsschweissen


Gitterroste / Tragroste


GFK Gitterroste
Gitterroste PP -el elektrisch Leitfähig
Profiltragroste PP -el elektrisch Leitfähig


Lüftungsformteile


Lüftungstechnik
Revisionsdeckel für Lüftungskanäle
Luftstromüberwachung


Chemieschlauch


PVC Transparentschlauch mit Textileinlage


Industrie- und Chemiebehälter


Dosierbehälter-Konfigurator
Dosierbehälter  und Überbehälter 35 – 1000 Liter
Salzlösebehälter 60 -5000 Liter
Lagerbehälter & Bottiche
Lagerbehälter für Wasser
Sicherheits- und Auffangwannen
Lieferprogramm Industriebehälter
Dosierbehälter mit Rührwerk
Rührwerk für Dosierbehälter
Dosierbehälter mit Anbauvarianten
Dosierbehälter aus Plattenmaterial
Chemiebehälter - Kundenlösungen
Dosierbehälter mit Füllstandsanzeigen
GFK Behälter für den schweren Chemieeinsatz



 

IBC TANK / CONTAINER


IBC Schraubdeckel DN 150/DN 200
IBC Adapter aus PE
IBC Adapter aus PP
MULTI FLEX BLOCK für IBC Bulk Container
Sauglanze für MULTI FLEX BLOCK und IBC Bulk Container
Heizhaube für IBC Bulk Container

Anwendungsbeispiele
MULTI FLEX BLOCK


Legionellen in Rückkühlwerken


Anbauteile für den Behälterbau


Säuredunstscheider
CO2 - Absorber
Fallbeispiel CO2 - Absorber
Mannlochdeckel
Revisionsstutzen
Blockflansche
Klöpperboden aus PP-CPK, PE-SK, PVDF-geätzt, PVC U und PVC-C


Filtergehäuse und Filterkerzen


PENTEK 3G Slime Line Gehäuse
PENTEK 3G Standard Filtergehäuse
PENTEK Big Blue Filtergehäuse
PENTEK PP Hochtemperatur Filtergehäuse
PENTEK PP Natur Filtergehäuse
PENTEK Filterbeutel für Big Blue Filtergehäuse
PENTEK Filtereinsätze für Oberflächenfiltration
PENTEK Filtereinsätze für Tiefenfiltration
PENTEK Filtereinsätze mit Aktivkohle
CINTROPUR Filtersysteme
CINTROPUR Wasserfilter
Enthärtungsanlage KAWK
Heizungswasser Umkehrosmose INDUWA


Flansch-Konfigurator


Blindflansch-Losflansch-Rechteckflansch

Chemische Beständigkeit


Beständigkeitsliste für Rohrsystemen aus Kunststoff

Kunststoffapparatebau


Tropfenabscheider aus PVC U, PP, PPs, PE und Verbundwerkstoffen

 

Kunststoff-Drehteile


Einlegteile
Einschraubteile
Gewindefittings
Verschraubungen

Kunststoff-Frästeile


Los- und Blindflansche aus Platten


Statische Mischer


Statische Mischer aus Kunststoff


Kompensatoren


Kompensatoren für Kunststoffrohrsysteme


Schmutzfänger


Einzel- und Doppelschmutzfänger
Topfschmutzfänger DN 300
Schrägsitzschmutzfänger DN 500


Durchflussmesser


Schwebekörperdurchflussmesser
Konfigurator für Durchflussmesser
Messwertgeber für Schwebekörperdurchflussmesser
Nebenstrom - Durchflussmesser


Filterpressen


Laborfilterpresse


Spritzgussteile


Schaber aus PE für Filterpressen


Kwerk Praxis Blog


Hier bloggt das Kwerk Team aus der Praxis


Westerwald - Spezial


Westerwälder Säurekitt


Kwerk GmbH International


Unsere Webseite in Englisch


Partnerschaft auf höchstem Niveau


 
         
 
 
 
       
 
 
         
 
ONLINE-TOOLS
ANGEBOT ANFORDERN
PROJEKT-ANFRAGE STARTEN